The Weeping of Plants
Prepare to be amazed if you've ever noticed the weeping of plants and thought it was just drops of dew!
Plants are creatures of water. They absorb it through their roots, transport it in their stems and branches, and release it from the pores (stomata) of their leaves. More importantly, plants combine water with carbon dioxide gas to produce the carbohydrates and oxygen that all life depends on.

Because of this, plants are marvels of hydraulic engineering, with elaborate plumbing built into every part of their structure. This allows plants to maintain exquisite control over the movement and internal pressure of water as it soaks in through their roots, then is released as vapor from the opening and closing of hundreds of thousands of stomata in each leaf.

In general, this system works great, but plants close their stomata at night, and when the soil is wet, and their roots continue absorbing water, the internal pressure in a plant starts to increase. Fortunately, plants have a backup system, because increasing pressure pushes water up a plant's stem into its leaves, where the water can be released as droplets through special openings known as hydathodes around the margins of each leaf.

This process is called guttation, and the droplets might look like dew, but dew is external water deposited on a leaf, whereas these droplets are produced from inside the plant.

That's a cool story, but guttation is far more common and more important than you might realize. Because these water droplets travel the full length of a plant's xylem and phloem, they become enriched with an extraordinary range of components.
As one scientific paper explains:
The guttation fluids...look clear and translucent [but] carry a number of organic and inorganic constituents. The organic component may include sugars, amino acids, general proteins, antimicrobial phylloplane proteins, transport proteins for transporting sucrose, purine, and cytokinins, toxic elements, etc., and enzymes such as peroxidases, dehydrogenases, ATPases, in addition to mRNA, ATP, reductants, and other important ingredients of plant life. Guttation fluids also contain a number of natural plant hormones such as auxins, gibberellins, cytokinins, abscisic acid etc., apart from several vitamins. Recent discoveries have revealed the presence of a number of salts, ions, nutrients, and macromolecules in guttation fluid playing a significant role in enhancing disease resistance, tolerance to toxic elements, photosynthetic efficiency, biomass production, and economic yield of agricultural crops.
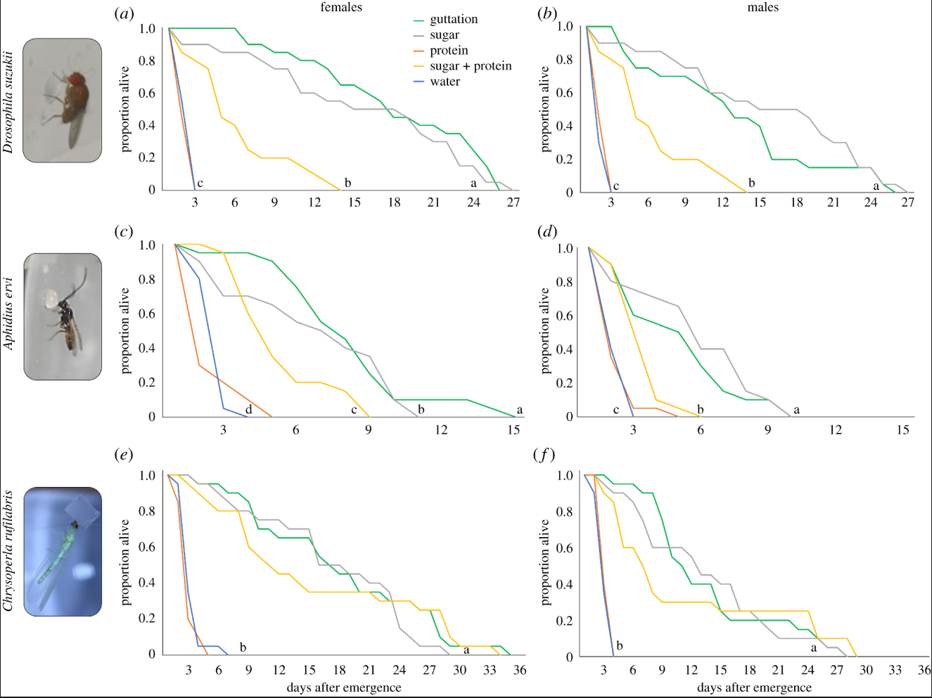
Scientists have long focused on how plants attract and feed insects by offering substances like pollen, nectar, or honeydew, but it's looking like guttation plays an equally important role. Not only are these water droplets full of vital nutrients, but, unlike nectar or pollen, they are also consistently available through the entire growing season.

Further studies have found that insects feeding on nutrient-rich guttation fluids live significantly longer and lay significantly more eggs. In addition, twice as many predatory and parasitic insects are attracted to these droplets and stick around because they provide the carbohydrates that fuel their high-energy lifestyles.

In turn, the presence of predators and parasites shapes the structure of the entire insect community, with 36% fewer aphids and 40% fewer mosquitoes around plants that produce guttation fluids. In fact, it's now thought that plants might be intentionally producing guttation fluids to attract the predators and parasites that help plants defend themselves against leaf-eating insects.

One other aspect of guttation fluids has caught the attention of scientists; these fluids also appear to transport and concentrate chemicals like insecticides. For example, bees die within minutes of drinking guttation fluids produced by plants that have been grown from neonicotinoid-coated seeds (a common insecticide)! This will likely turn out to be a serious side effect of all kinds of chemical crop applications, but few people are researching this question.

Additional Resources
This scientific paper, Plant guttation provides nutrient-rich food for insects, is a thorough introduction to the topic.
Here is a short and thorough (but rather boring) video is a simple introduction to how guttation works.
This video is a simple explanation of the difference between transpiration and guttation.

Member discussion